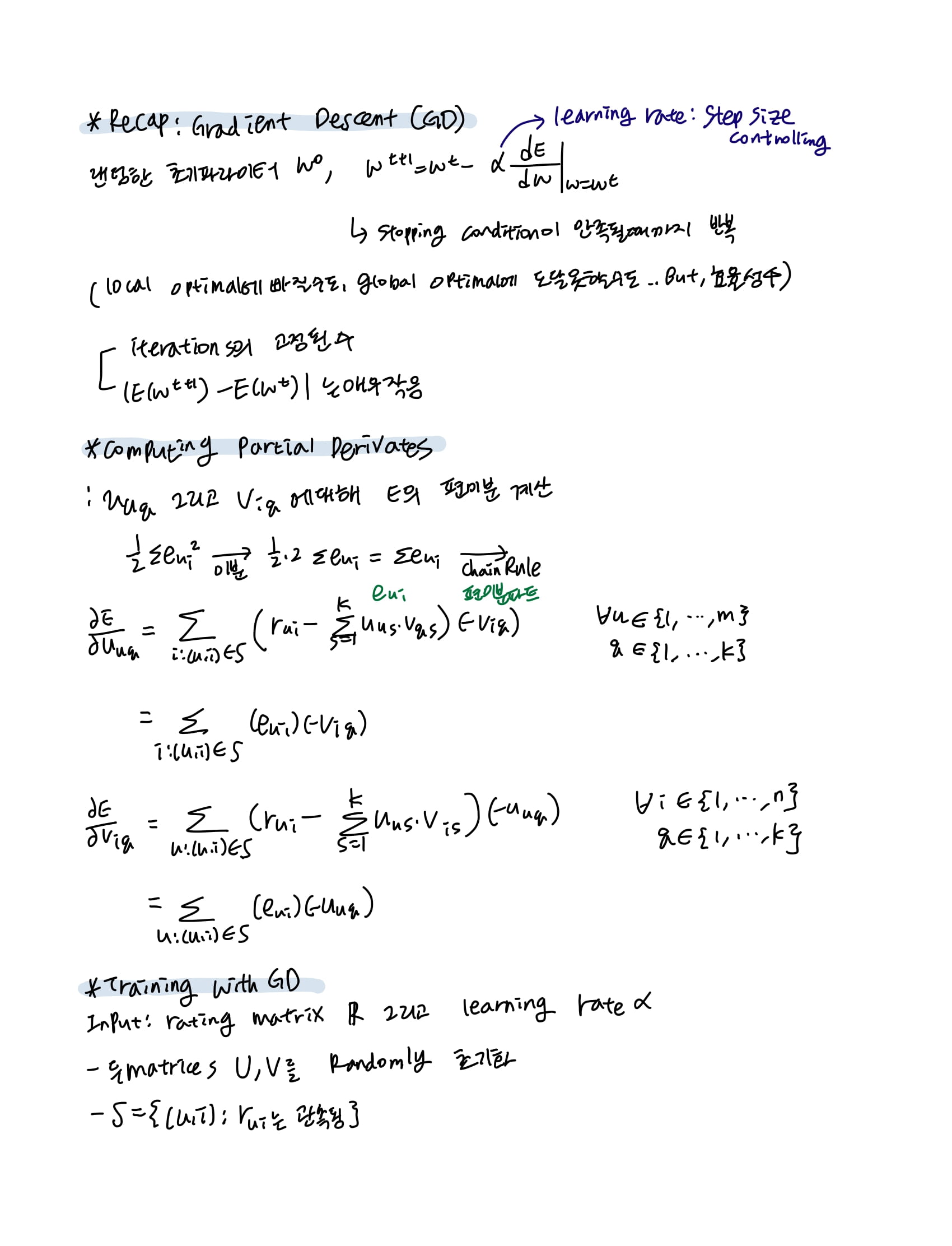
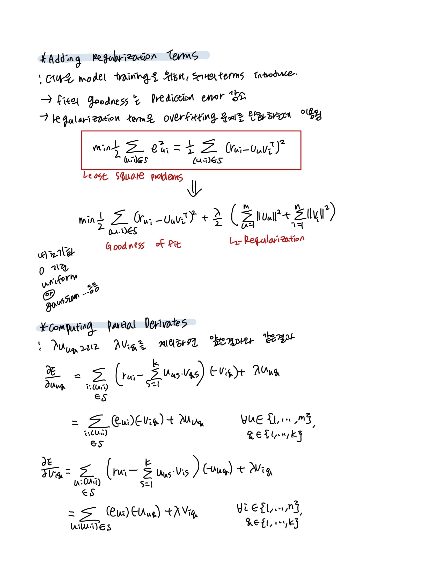
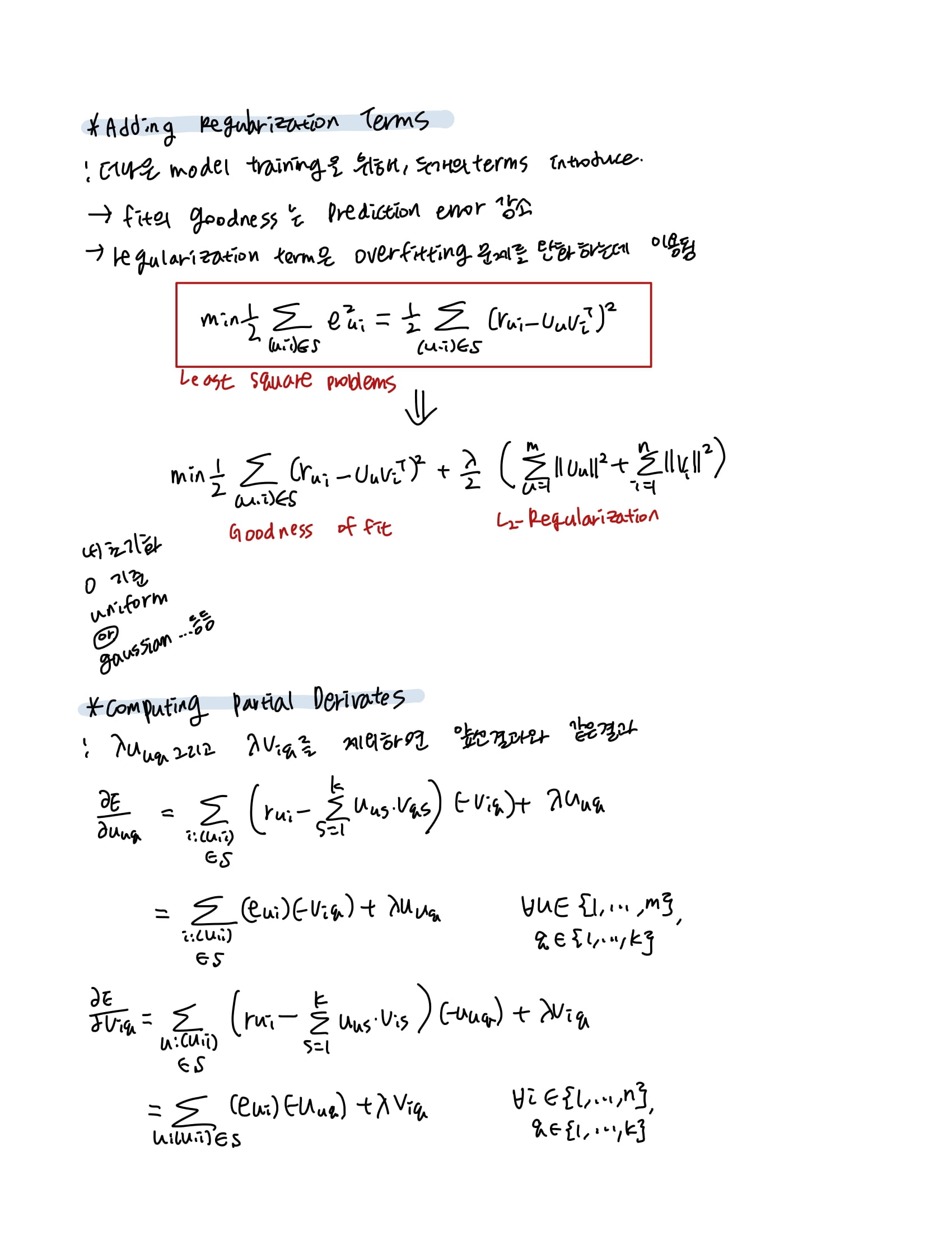
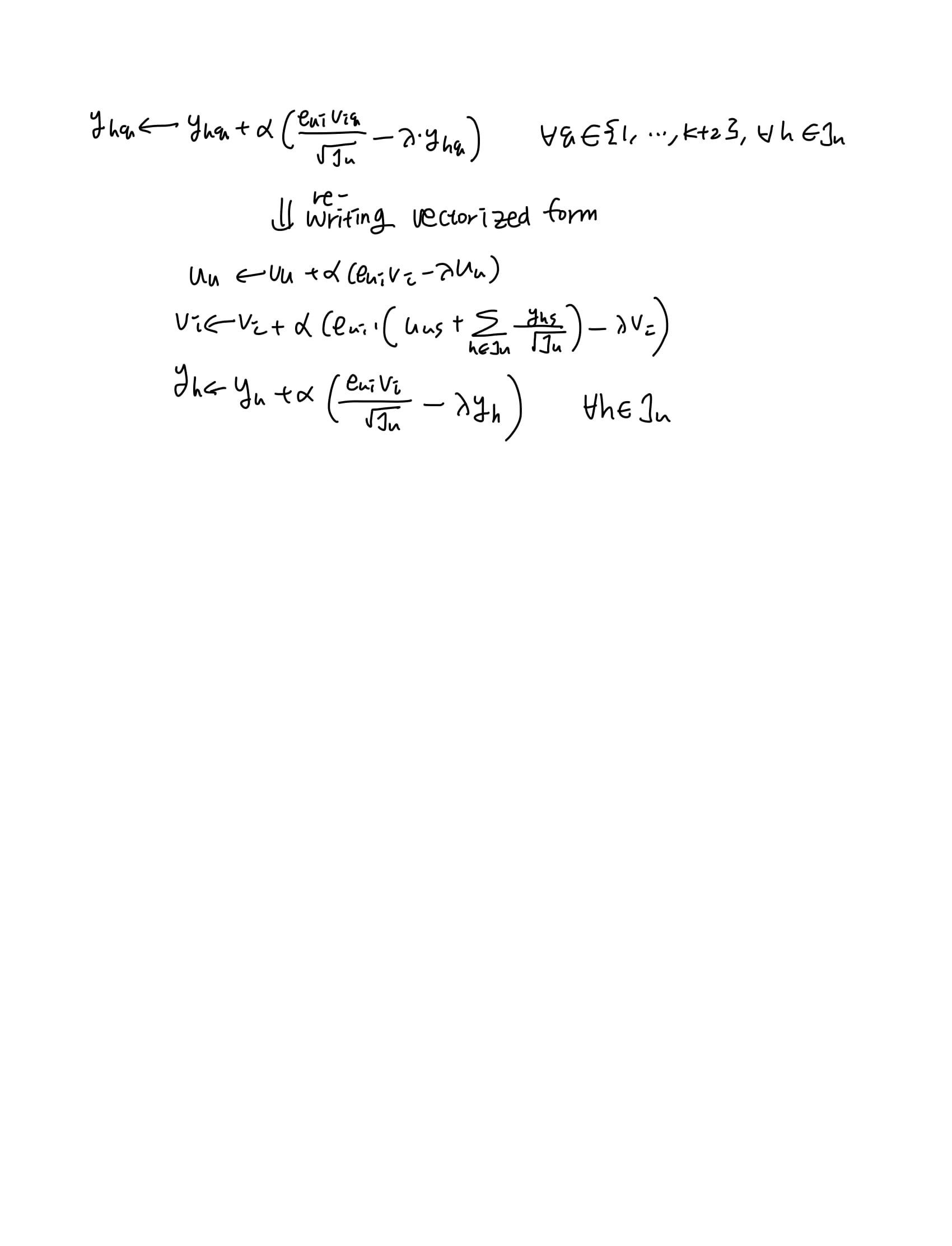
- 본 강의 노트는 2022년도 1학기 성균관대학교 이종욱 교수님의 강의노트와 강의를 기반으로 필기한 필기 자료입니다.
- 본 강의 노트의 무단 복제와 배포를 금합니다.














Copyright 2022. Haein Lee All pictures cannot be copied without permission.
'또치의 AI 공부정리 > 추천시스템' 카테고리의 다른 글
| 추천 시스템 (Week 6) (0) | 2022.06.09 |
|---|---|
| 추천 시스템 (Week 5) (0) | 2022.06.08 |
| 추천 시스템 (Week 3) (0) | 2022.03.31 |
| 추천 시스템 (Week 2) (0) | 2022.03.12 |
| 추천 시스템 (Week 1) (0) | 2022.02.28 |